活躍する化学 スライムの化学 日本化学会 化学だいすきクラブ
25/4/18 (詳しい解説はこちら→スライムができる原理) そのため、ホウ砂の量が少なくなると反応する量が減り、水っぽくなると考えられます。 まとめ スライムの硬さに関する実験について紹また"スライムがどうして出来るのか? "のしくみも教えちゃいます! ! 材料 ・PVA洗濯のり 50ml ・水 50ml ・絵の具 適量 ・ホウ砂 2g程度
スライム 原理 化学
スライム 原理 化学-原理 スライムとは、ねばねばした液状物・粘液の総称です。 今回実験ではPVAとホウ砂の反応によりできるスライムを用いました。 PVAとホウ砂水溶液が反応した後の状態は以下の様なイメージ8/7/22 スライムが固まる原理 簡単に説明すると スライムはホウ砂と洗濯のりに入っているpvaが化学的に反応することで固まります。 ホウ砂水溶液を入れる前のpvaは細長い線のような構
高分子の性質を探る スライムを作って 高分子の性質を知ろう おもしろ科学実験室 工学のふしぎな世界 国立大学55工学系学部hp
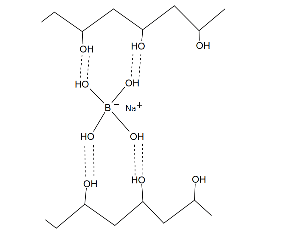
スライムの構造はポ リビニルアルコール内のヒドロキシ基をホウ素によって結合し、その高分 子間に水を含むことでゲル状の体を構成しているので、各材料の比率を変 えればスライムの性質も変わ
スライム 原理 化学のギャラリー
各画像をクリックすると、ダウンロードまたは拡大表示できます
![]() | ![]() | |
![]() | ![]() | |
「スライム 原理 化学」の画像ギャラリー、詳細は各画像をクリックしてください。
![]() | ![]() | ![]() |
![]() | ![]() | ![]() |
![]() | ![]() | |
「スライム 原理 化学」の画像ギャラリー、詳細は各画像をクリックしてください。
![]() | ![]() | |
![]() | ||
![]() | ![]() | ![]() |
「スライム 原理 化学」の画像ギャラリー、詳細は各画像をクリックしてください。
![]() | ![]() | ![]() |
![]() | ![]() | |
![]() | ![]() | ![]() |
「スライム 原理 化学」の画像ギャラリー、詳細は各画像をクリックしてください。
![]() | ![]() | ![]() |
![]() | ![]() | |
![]() | ![]() | ![]() |
「スライム 原理 化学」の画像ギャラリー、詳細は各画像をクリックしてください。
![]() | ![]() | ![]() |
![]() | ![]() | ![]() |
![]() | ![]() | ![]() |
「スライム 原理 化学」の画像ギャラリー、詳細は各画像をクリックしてください。
![]() | ||
![]() | ![]() | ![]() |
![]() | ![]() | |
「スライム 原理 化学」の画像ギャラリー、詳細は各画像をクリックしてください。
![]() | ![]() | ![]() |
![]() | ![]() | |
![]() | ![]() | ![]() |
「スライム 原理 化学」の画像ギャラリー、詳細は各画像をクリックしてください。
![]() | ![]() | ![]() |
![]() | ||
![]() | ||
「スライム 原理 化学」の画像ギャラリー、詳細は各画像をクリックしてください。
![]() | ||
![]() | ![]() | ![]() |
![]() | ![]() | |
「スライム 原理 化学」の画像ギャラリー、詳細は各画像をクリックしてください。
![]() | ||
![]() | ![]() | |
![]() | ![]() | ![]() |
「スライム 原理 化学」の画像ギャラリー、詳細は各画像をクリックしてください。
![]() | ![]() | ![]() |
![]() | ![]() |


















































































0 件のコメント:
コメントを投稿